2024考研数学一真题及参考答案(完整版)
2024年考研初试考试结束后,相信同学们都比较关心考后的真题以及答案了。下面小编给大家整理了关于2024考研数学一真题及参考答案的内容,欢迎阅读,内容仅供参考!
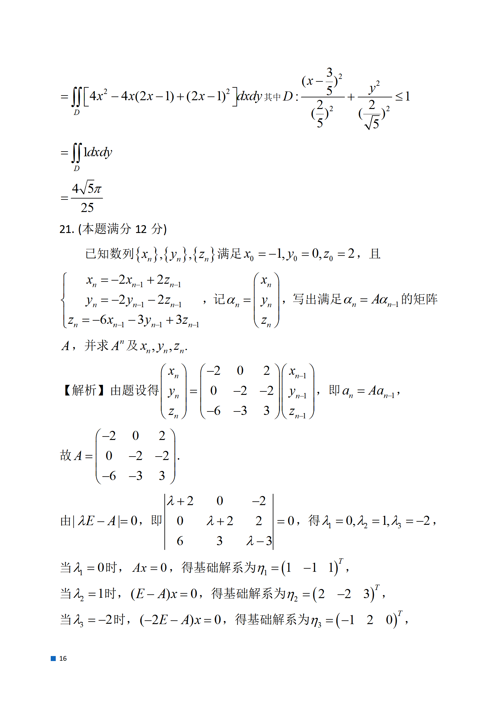
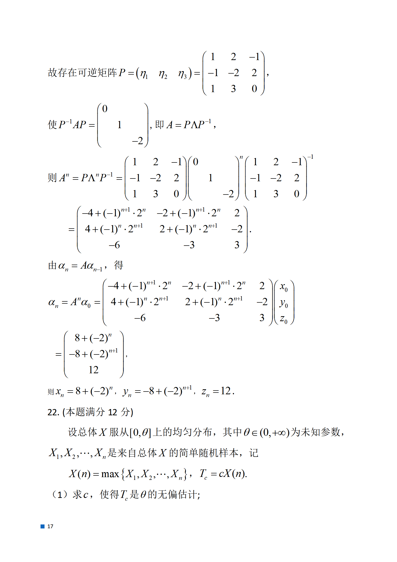
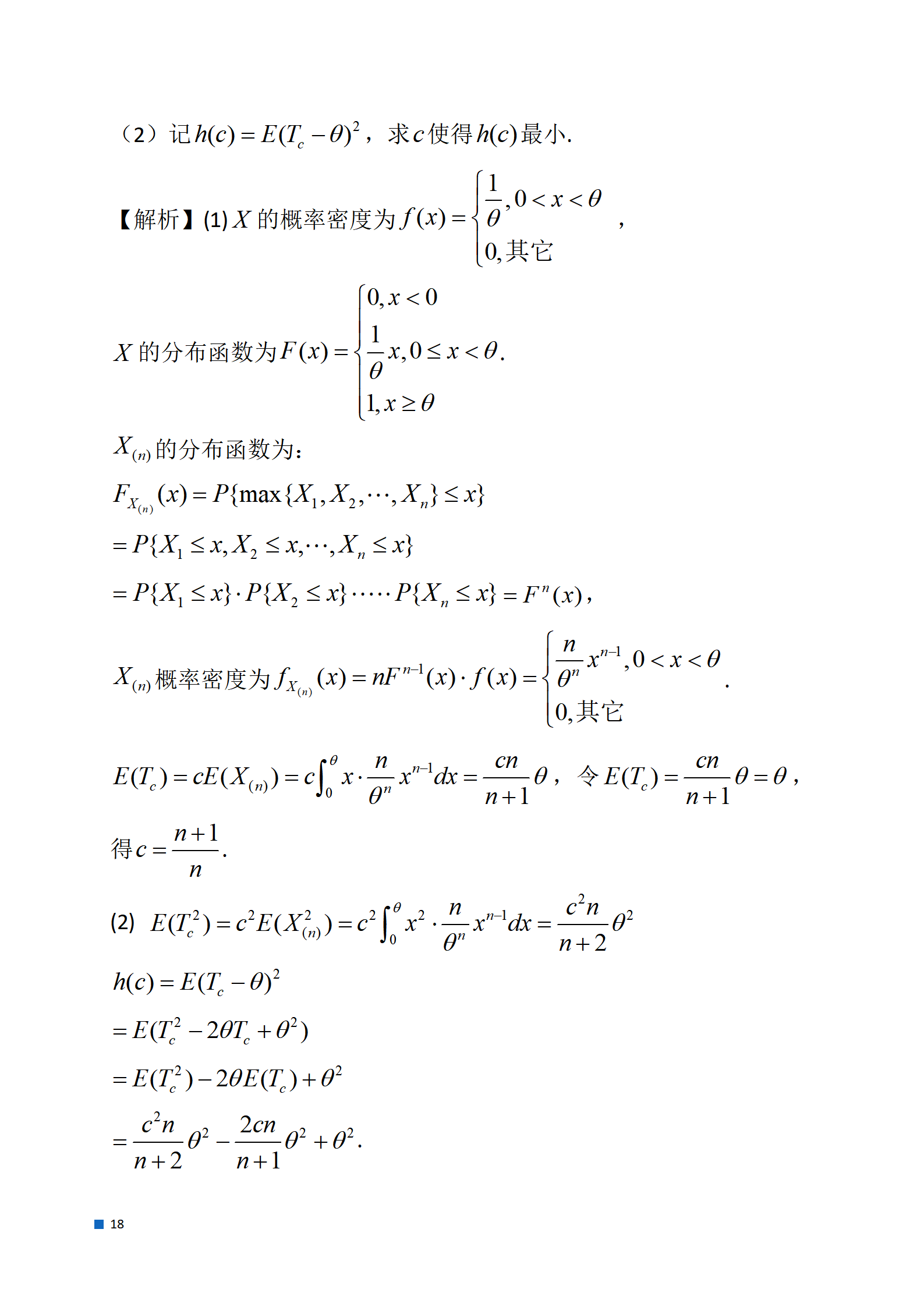
2024考研数学一真题及参考答案


















2024考研科目时间表
2024考研时间还未公布,下面整理了2023各科目考研时间安排,供大家参考:
【考研第一天12月24日】
1、考试时间:8:30-11:30
考研科目:思想政治理论、管理类联考综合能力
2、考试时间:14:00-17:00
考研科目:外国语(英语(一)、英语(二)、日语、俄语)
【考研第二天12月25日】
考试时间:8:30-11:30
考研科目:业务课一(数学一、数学二、数学三、中医综合、西医综合、教育学专业基础综合、心理学专业基础综合、历史学基础、法律硕士(非法学)专业学位联考专业基础课、法律硕士(法学)专业学位联考专业基础课、农学门类联考数学、农学门类联考化学等)
考试时间:14:00-17:00
考研科目:业务课二(法律硕士(非法学)专业学位联考综合课、法律硕士(法学)专业学位联考综合课、农学门类联考植物生理学与生物化学、农学门类联考动物生理学与生物化学、计算机科学与技术学科联考计算机学科专业基础综合等)
【考研第三天12月26日】
考研考试时间超过3小时或有使用画板等特殊要求的考试科目
研究生考试如何备考
1、分析自身情况,制定具体可行的计划。
每个人的基础、时间、精力都不一样,所以要参照自己的情况制定考研备考计划,不能盲目模仿他人。学习计划对于提高研究生备考学习效率是非常重要的,学习效率提高的多,也会为上岸提供很大的帮助。
2、确定时间节点和备考任务。
备考考研的时间节点和备考任务是整个备考计划的核心,要合理安排时间和复习内容。
3、合理分配时间和内容。
研究生备考复习计划要按考研时间和内容进行合理分配,根据自己的学习速度和理解能力安排每个学科的复习内容和时间。
4、保持积极的心理状态。
考研需要心理上的调整。考研的过程是相对较长的,中间可能会有一些挫折和迷茫。这需要我们具有一定的心理素质和适应能力。在考研复习过程中,我们需要不断接受反馈,发现并及时改正自己的错误。此外,我们也可以多参加一些集体活动和小组学习,借此增加自己的学习动力。
考研数学一考什么
考试科目
高等数学、线性代数、概率论与数理统计
形式结构
一、试卷满分及考试时间
试卷满分为150分,考试时间为180分钟.
二、答题方式
答题方式为闭卷、笔试.
三、试卷内容结构
高等数学 56%;
线性代数 22%;
概率论与数理统计22%
四、试卷题型结构
试卷题型结构为:
单选题 8小题,每题4分,共32分;
填空题 6小题,每题4分,共24分;
解答题(包括证明题) 9小题,共94分.
2024考研数学一真题及参考答案(完整版)相关文章:






