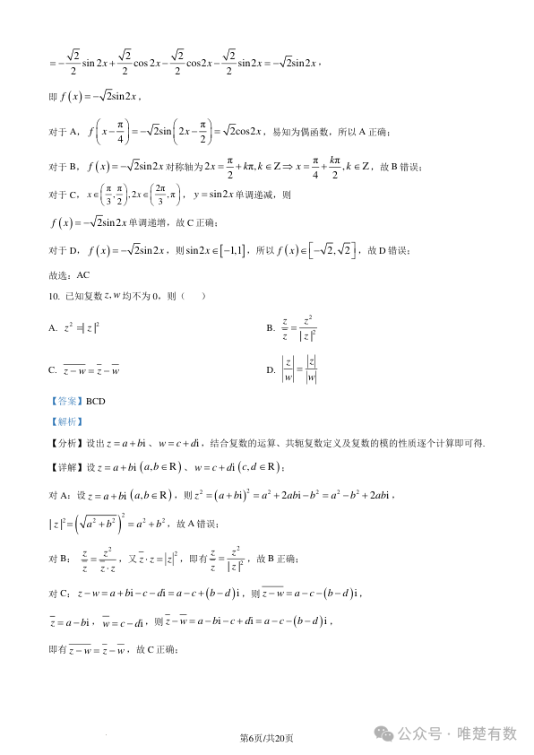
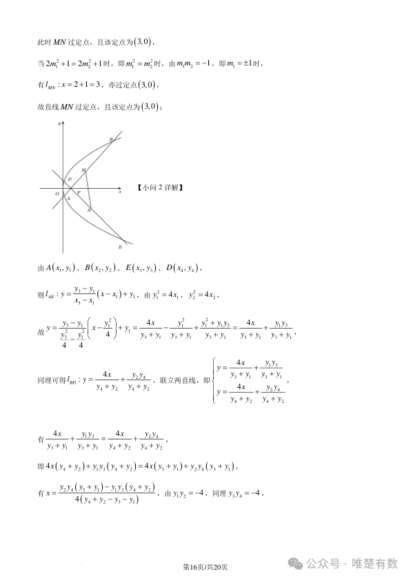
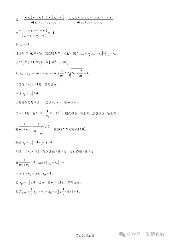
九省联考可以促进各省之间的交流与合作,统一考试标准和评分标准,确保考试的公平性和公正性。下面是小编为大家带来的2024新高考适应性考试(九省联考)数学试题附答案解析,希望大家能够喜欢!
2024新高考适应性考试(九省联考)数学试题附答案



















新高考九省联考和传统高考哪个更难
新高考九省联考和传统高考的难度是相对的,具体哪个更难取决于多个因素。
从考试内容和形式来看,新高考九省联考采用“3+1+2”模式,注重对学生综合素质和能力的考察,考试难度相对较高。而传统高考虽然科目选择和组合相对较少,但是其考试难度相对较低,更加注重基础知识的考察。
从备考角度来看,新高考九省联考需要学生们全面准备,加强基础知识的学习和巩固,提高各项能力,以应对这种高难度的考试。而传统高考则更加注重对知识点的记忆和应试技巧的掌握,对于一些应试能力强的学生来说可能更加容易应对。
综上所述,无法简单地判断新高考九省联考和传统高考哪个更难。对于不同的学生来说,可能有不同的感受和经历。但是从整体来看,新高考九省联考更加注重对学生综合素质和能力的考察,为学生提供了更多的选择自由度,同时也提高了考试的难度和要求。
新高考九省联考和传统高考哪一个更公平
新高考九省联考和传统高考的公平性是相对的,两者都有其优点和不足之处。
新高考九省联考是为了让学生们提前适应新高考的节奏和模式,因此考试内容和形式都可能与传统的文理综高考有所不同。这需要学生们在备考过程中不仅掌握知识点,还要注重思维的拓展和灵活运用。同时,新高考更加注重对学生综合素质和能力的考察,为学生提供了更多的选择自由度。但是,由于新高考的考试难度相对较高,对于一些基础薄弱的学生来说可能会感到困难。此外,新高考的录取方式也与传统高考有所不同,除了考试成绩外,还会参考学生的综合素质评价和其他方面的表现,这也有利于那些全面发展的学生。
传统高考虽然科目选择和组合相对较少,但是其考试难度相对较低,更加注重基础知识的考察。同时,传统高考的录取方式相对简单明了,主要依据考试成绩进行录取,这也有利于那些专注于学习、应试能力强的学生。
因此,无法简单地判断哪一个更加公平。公平性取决于很多因素,包括考试内容、考试难度、录取方式、评分标准等等。一个公平的考试应该是能够全面考察学生的综合素质和能力,同时又能够避免主观因素和人为操作的影响。无论是新高考还是传统高考,都需要不断完善和改进,以确保考试的公平性和公正性。
2024新高考适应性考试(九省联考)数学试题附答案解析相关文章:







