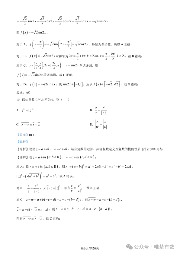
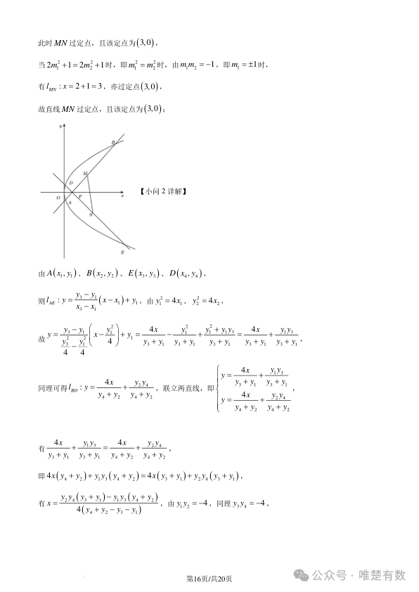
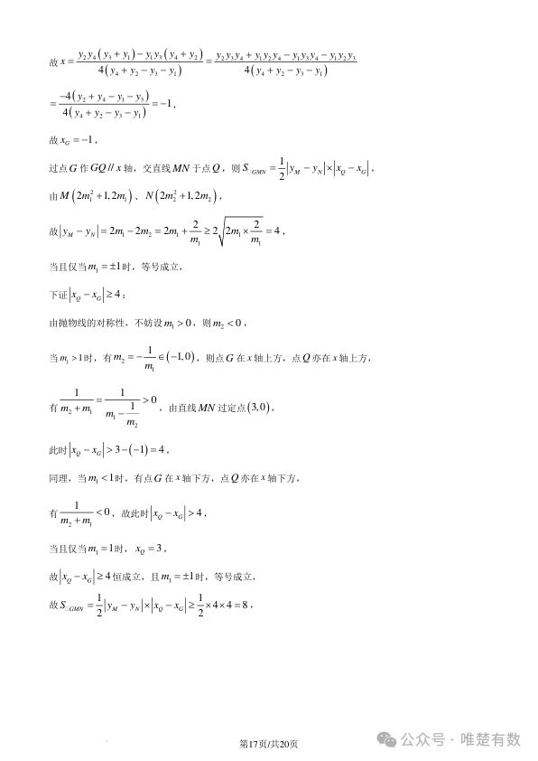
通过九省联考,考生可以评估自己的学习水平和实力,了解自己在同龄人中的竞争力,为未来的高考志愿填报提供参考信息。下面是小编为大家带来的2024新高考九省联考数学试题答案(大全),希望大家能够喜欢!
2024新高考九省联考数学试题答案



















2024新高考九省联考考试时间及科目一览
新高考九省联考是为了让学生体验新高考形式、了解选考科目等级赋分方式,并帮助他们做出更好的升学规划而举办的。
2024新高考九省联考考试时间1月19日
上午语文考试时间:9:00-11:30
下午数学考试时间:15:00-17:00
2024新高考九省联考考试时间1月20日
上午物理/历史考试时间:9:00-10:15
下午外语考试时间:15:00-17:00
2024新高考九省联考考试时间1月21日
上午化学考试时间:8:30-9:45。地理考试时间:11:00-12:15
下午思想政治考试时间:14:30-15:45。生物学考试时间:17:00-18:15
根据文件的要求,九省联考的语数外由教育部教育考试院提供,因此试卷结构参考现在的新课标新高考卷。副科(物理、历史、化学、生物、地理、政治)由各省自主命题。其中新疆只参加主科语数外考试,河南语数外考试时间一致,理综、文综考试时间为1月20日9:00-11:30。
九省联考的作用是什么
评估自己的学习水平和实力:通过九省联考的成绩,考生可以评估自己的学习水平和实力,了解自己在同龄人中的竞争力,为未来的高考志愿填报提供参考信息。
定位自己的目标高校和专业:九省联考的成绩可以帮助考生了解自己在高考中的相对位置,从而更好地定位自己的目标高校和专业。
激发学习动力和热情:九省联考通过与其他考生比较,考生可以了解自己的优势和不足,从而激发学习动力和热情,为未来的高考做好更充分的准备。
2024新高考九省联考数学试题答案(大全)相关文章:
《2024新高考九省联考数学试题答案(大全)》
通过九省联考,考生可以评估自己的学习水平和实力,了解自己在同龄人中的竞争力,为未来的高考志愿填报提供参考信息。下面是小编为大家带来的2024新高考九省联考数学试题答案(大全
推荐度:
点击下载文档文档为doc格式







