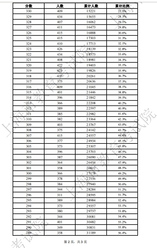
经市教委审定,2024年上海市普通高校春季考试招生志愿填报最低成绩控制线为:255分。以下是小编为大家收集的关于2024年上海市普通高校春季考试成绩分布表的相关内容,供大家参考!
2024年上海市普通高校春季考试成绩分布表



2024上海春季高考各科目考试时间
1、上海2024春季高考统一文化考试时间安排
2024年1月6日-8日举行上海春季高考统一文化考试,各科目考试时间为:
语文:1月6日 9:00-11:30
数学:1月6日13:30-15:30
外语笔试(含听力):1月7日 9:00-11:00
外语听说测试:1月8日 8:00起
考试时长:语文150分钟,数学120分钟,外语笔试(含听力)120分钟、听说测试20分钟。上海春季高考统一文化考试均在标准化考场进行。
2、上海2024春季高考统一文化考试成绩公布
2024年1月下旬,上海市教育考试院公布统一文化考试成绩及志愿填报最低控制线,具体详见上海市教育考试院相关实施办法。
上海春季高考录取结果在哪查
一、官方网站查询
最官方、最权威的查询方式是通过春季高考的官方网站查询。上海考生可以通过搜索引擎或者教育部门的相关网站,找到春季高考的官方网站,在网站上找到“录取查询”或者“录取结果”等相关栏目,输入自己的考生号、身份证号等个人信息,即可查询自己的录取情况。
二、高校网站查询
除了官方网站外,上海春季高考考生还可以通过自己所报考的高校网站查询自己的录取情况。在高校网站上,可以找到“招生信息”、“录取查询”等相关栏目,输入自己的考生号、身份证号等个人信息,即可查询自己的录取情况。
2024年上海市普通高校春考成绩分布一分一段表出炉相关文章:
《2024年上海市普通高校春考成绩分布一分一段表出炉》
经市教委审定,2024年上海市普通高校春季考试招生志愿填报最低成绩控制线为:255分。以下是小编为大家收集的关于2024年上海市普通高校春季考试成绩分布表的相关内容,供大家参考!
推荐度:
点击下载文档文档为doc格式






