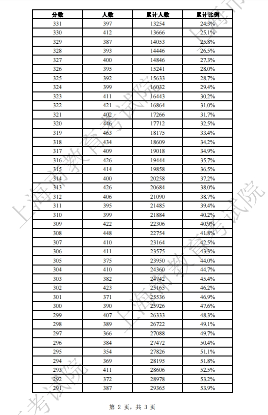
经市教委审定,2024年上海市普通高校春季考试招生志愿填报最低成绩控制线为:255分。!以下是小编为大家收集的关于2024年上海市春季高考成绩分布表的相关内容,供大家参考!
2024年上海市春季高考成绩分布表



2024春季高考可以报考的学校有哪些
上海春季高考的院校有:上海理工大学、上海海事大学、华东政法大学、上海海洋大学、上海电力学院、上海大学、上海中医药大学、上海师范大学、上海对外经贸大学、上海工程技术大学、上海应用技术学院、上海金融学院、上海立信会计学院;
上海第二工业大学、上海电机学院、上海商学院、上海政法学院、上海杉达学院、上海建桥学院、上海兴伟学院、上海师范大学天华学院、上海外国语大学贤达人文经济学院等。
山东春季高考的院校有:滨州学院,青岛滨海学院,潍坊学院,烟台南山学院,青岛大学,山东英才学院,山东现代学院,山东协和学院,山东华宇工学院,齐鲁医药学院,青岛恒星科技学院,青岛黄海学院,山东师范大学历山学院,潍坊科技学院等。
注:以上内容来源于网络,仅供参考。
春季高考是什么考试
春季高考是与夏季高考并行的一种高考模式,由省统一出题并统一组织考试。实行“文化素质+专业技能”考试模式。以山东为例:春季高考总分为750分,文化素质包括语文120分、数学120分、英语80分共320分,“专业技能”考试包括专业知识和技能测试两部分,总分是430分。
2024年上海市春季高考成绩分布表(一览)相关文章:
《2024年上海市春季高考成绩分布表(一览)》
经市教委审定,2024年上海市普通高校春季考试招生志愿填报最低成绩控制线为:255分。!以下是小编为大家收集的关于2024年上海市春季高考成绩分布表的相关内容,供大家参考!2024年
推荐度:
点击下载文档文档为doc格式






