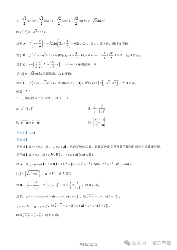
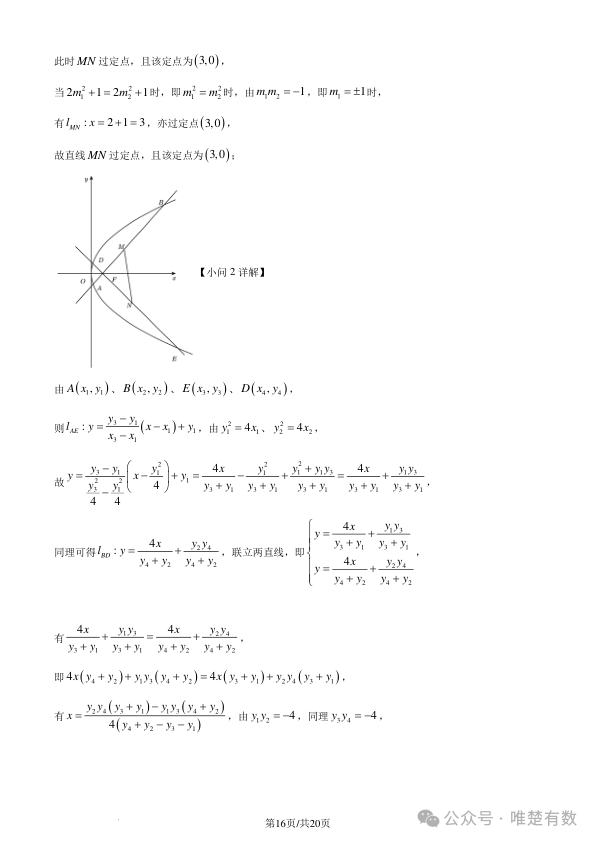
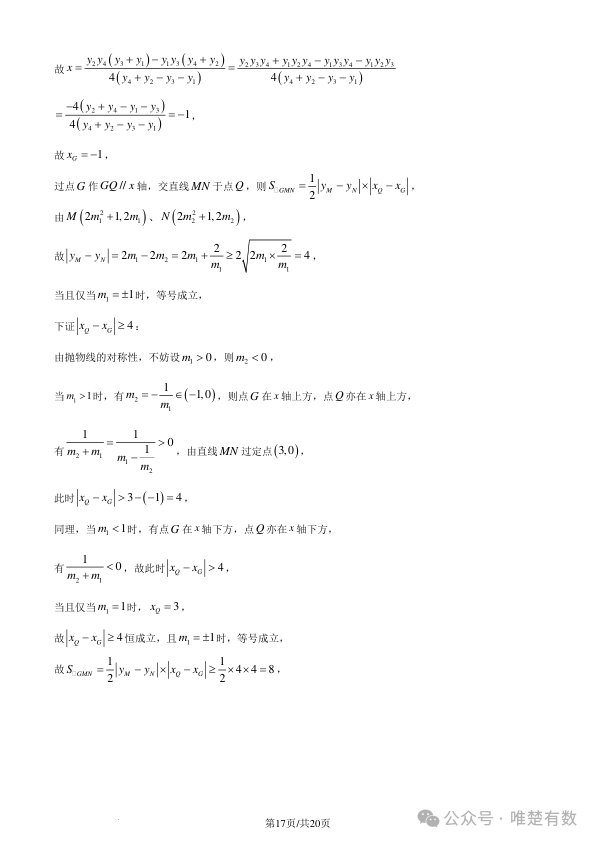
新高考九省联考合理的时间分布,科目之间有适当的休息时间,有助于提高考生的应试水平。下面是小编为大家带来的2024新高考适应性测试(九省联考)数学试题答案解析,希望大家能够喜欢!
2024新高考适应性测试(九省联考)数学试题答案



















九省联考考试时长
九省联考测试科目采用“3+1+2”模式,由统考科目和普通高中学业水平选择性考试科目(以下简称“选考科目”)组成。
其中,“3”为语文、数学、外语(含英语、俄语、日语、法语、德语、西班牙语)3门统考科目。语文测试时长为150分钟,数学和外语(含听力部分)测试时长为120分钟,外语听力部分安排在外语笔试考试开始前进行。选考科目包括首选科目和再选科目,其中“1”为考生在物理、历史2门科目中选择的1门首选科目,“2”为考生在思想政治、地理、化学、生物学4门科目中选择的2门再选科目,选考科目均由我省自主命题,每门测试时长均为75分钟。
2024九省联考考前应该怎样备考
1、九省联考考试备考要进行梳理和总结。
在复习了一段时间之后,高三学生们一定有了一些容易忘记,容易做错的题目,这时,就需要学生们把这些知识点进行梳理和总结,想办法处理这些知识点,在这些题目上下功夫,把问题解决好,成绩一定能有所提高。
2、九省联考考试备考回归课本。
在最后的时间里面,高三学生们应该回归课本。高考的试题虽然高于课本,但是,它也来自于课本,是一些课本题目的延伸。一些基础知识,可能会一些遗忘,这时,考生们需要把不太牢固的知识,容易混淆的知识,模棱两可的知识,进行复习,在复习这些课本知识的时候,学生们一定也会有新的感悟。
3、九省联考考试备考进行反思
反思是一个老生常谈的问题了,考生们在最后复习冲刺阶段,一定要多多思考,为什么这些题会做错,反思自己的问题,并且记录下来,在下一次遇到这样的题目时,一定要做对。
2024新高考适应性测试(九省联考)数学试题答案解析相关文章:
《2024新高考适应性测试(九省联考)数学试题答案解析》
新高考九省联考合理的时间分布,科目之间有适当的休息时间,有助于提高考生的应试水平。下面是小编为大家带来的2024新高考适应性测试(九省联考)数学试题答案解析,希望大家能够喜
推荐度:
点击下载文档文档为doc格式







