2024考研数学一真题(含完整答案)下载打印
考研数学一大纲要求的考试科目有“高等数学”、“线性代数”、“概率论与数理统计”。下面小编为大家带来2024考研数学一真题(含完整答案),希望对您有所帮助!
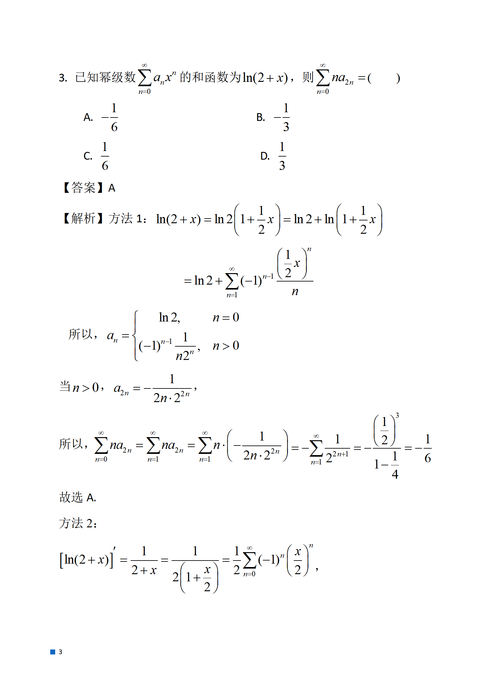
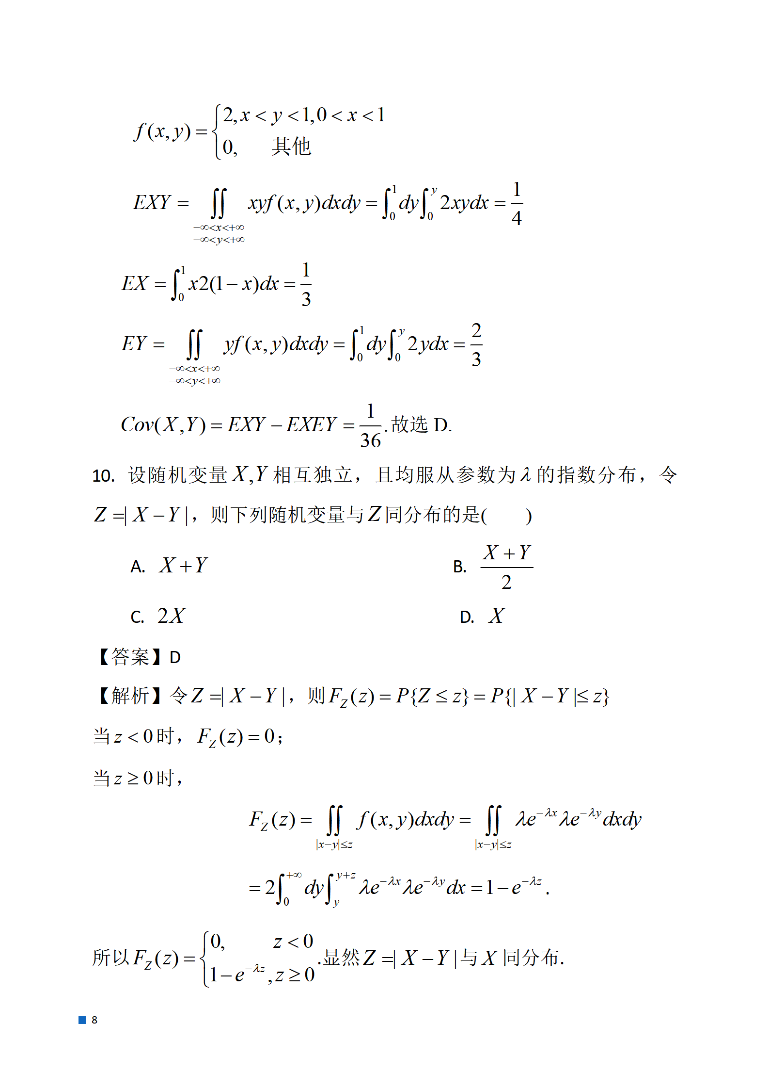
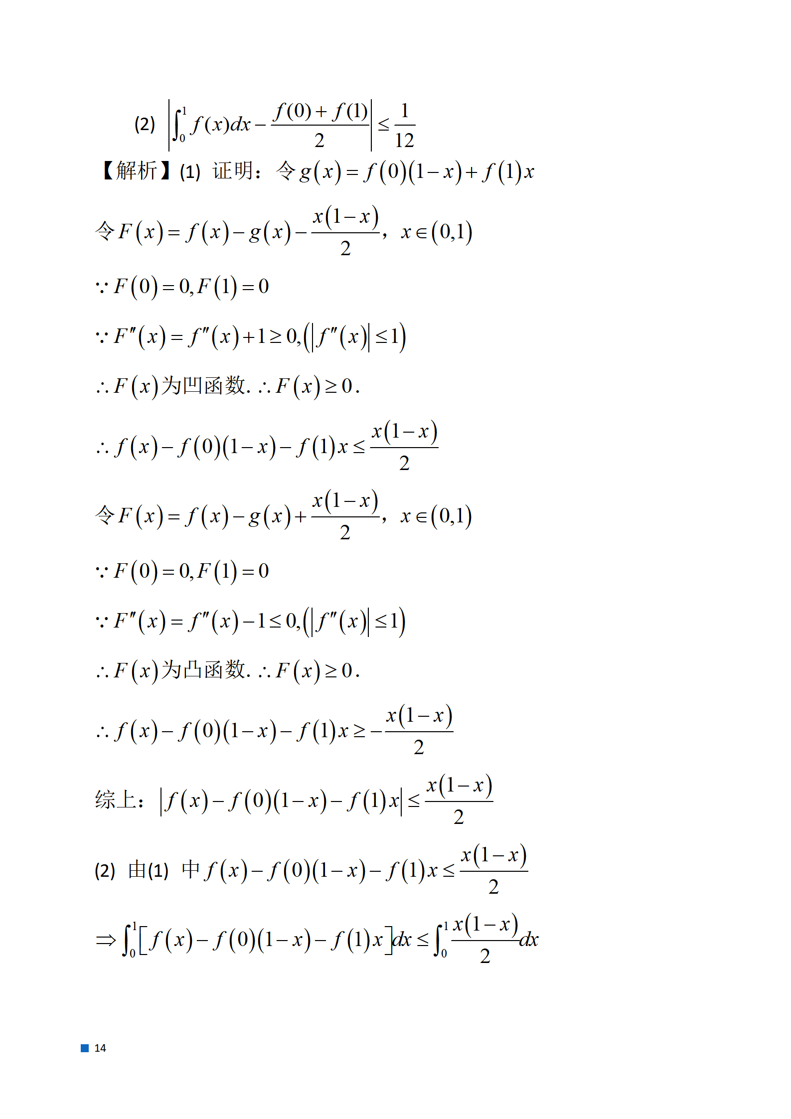
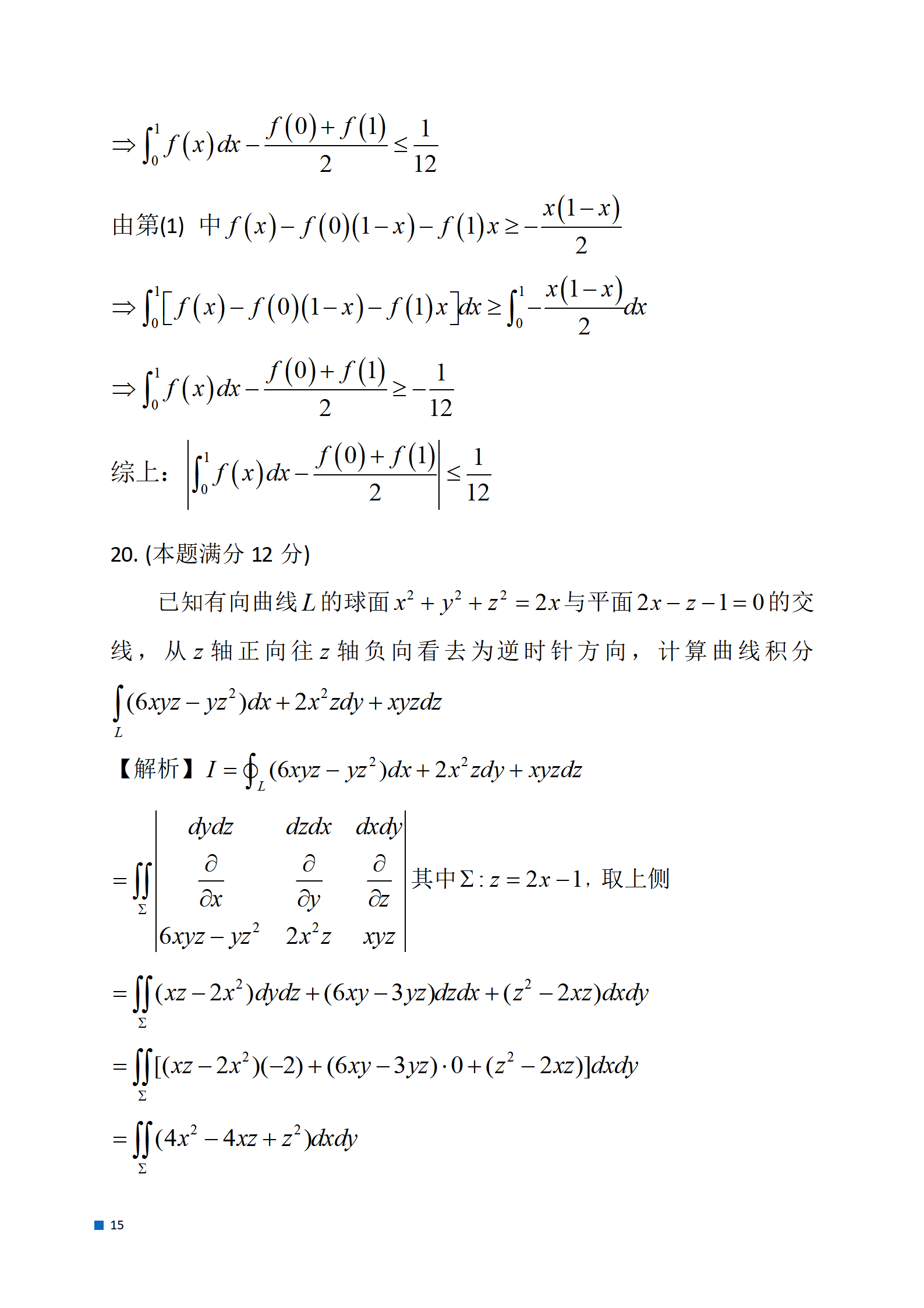
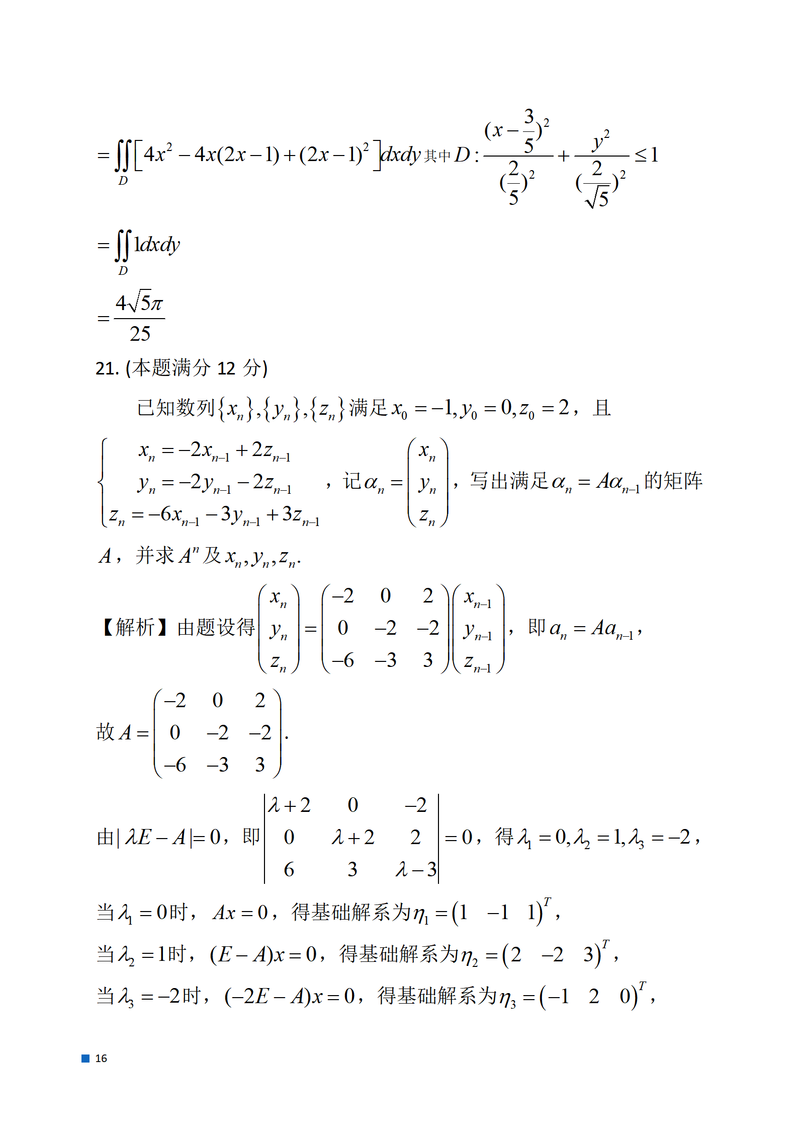
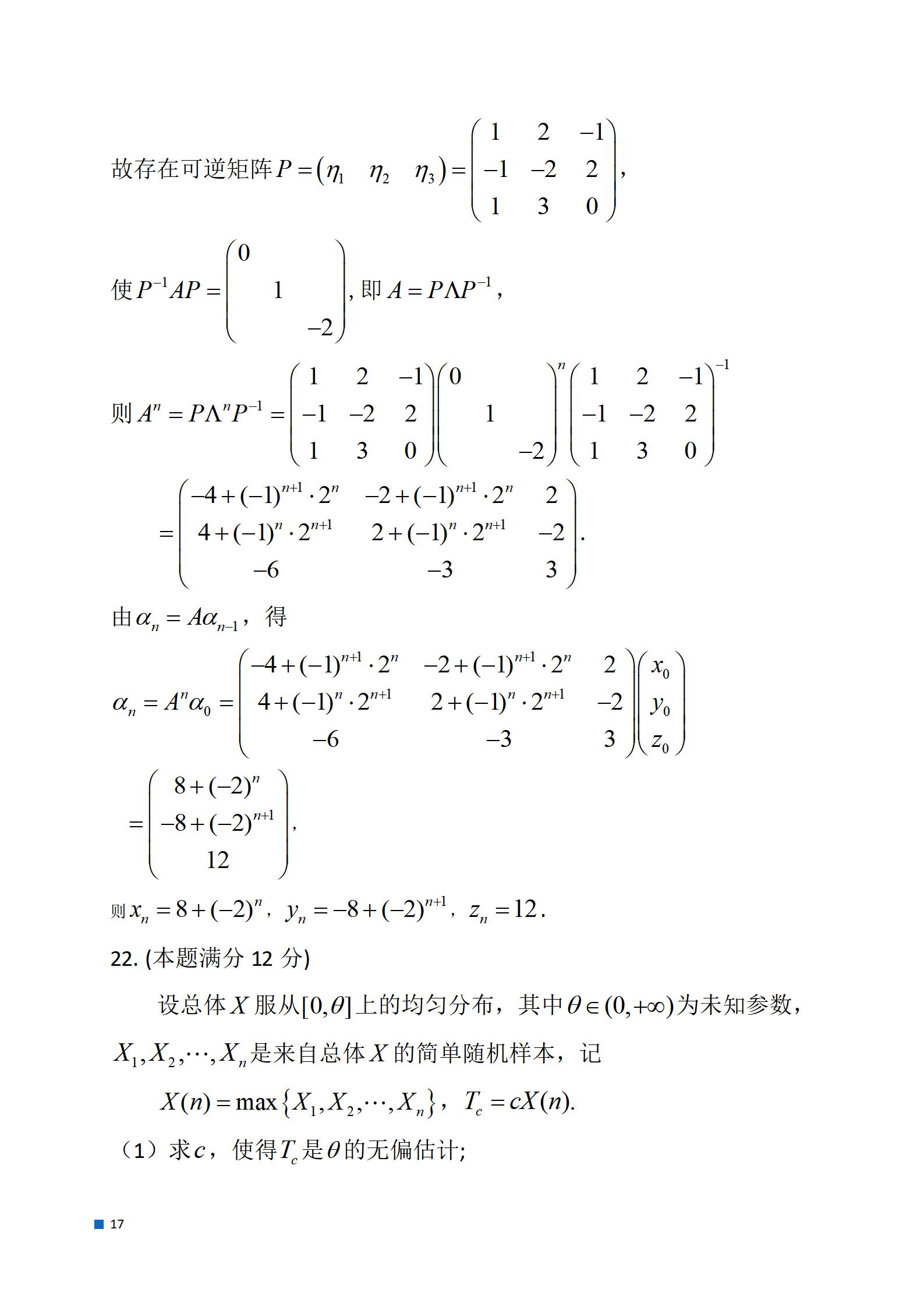
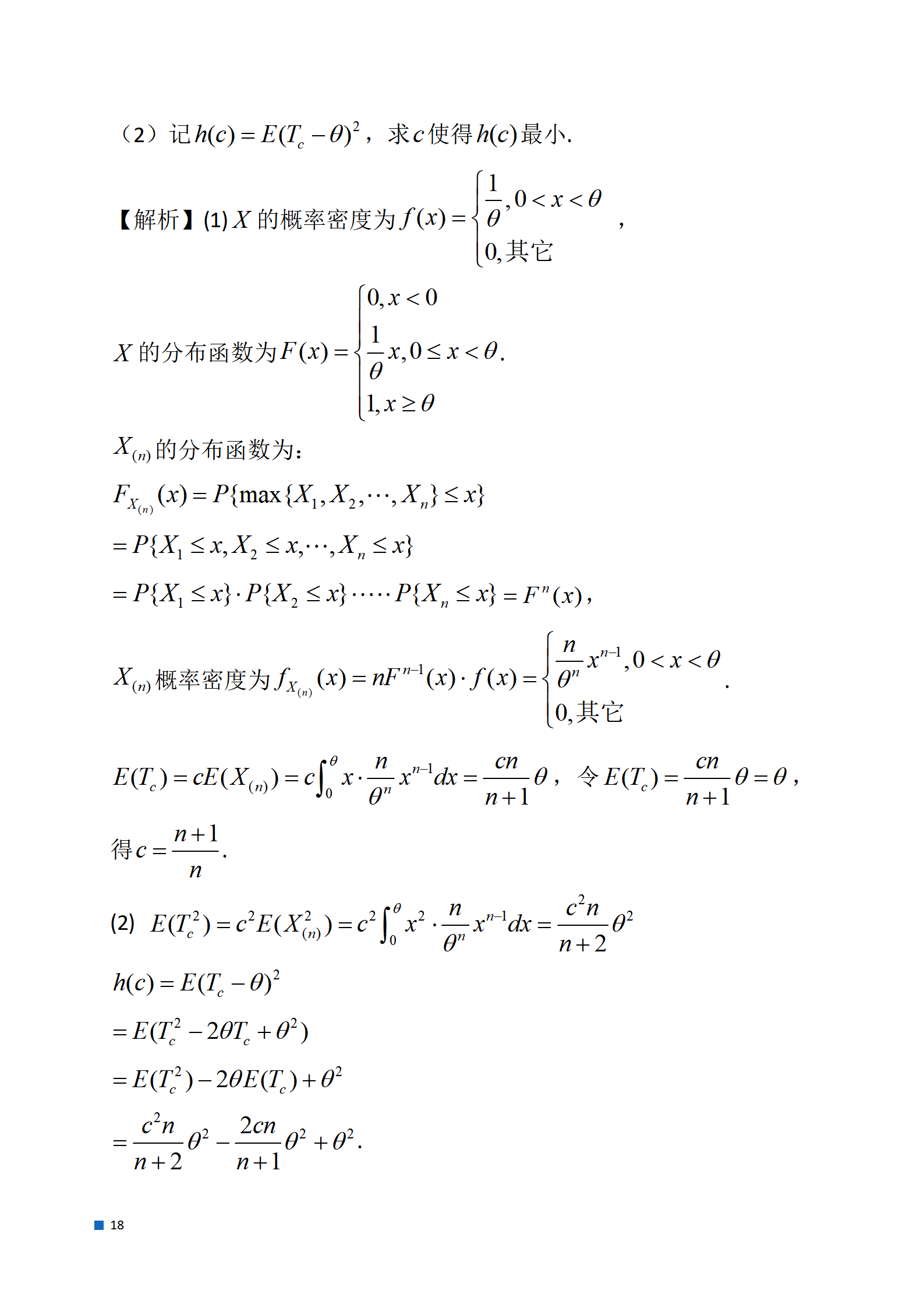
2024考研数学一真题(含完整答案)


















2024考研具体时间什么时候
2024考研初试时间为2023年12月23日至24日。
第一天上午政治(8:30-11:30),下午英语(2:00-5:00)。
第二天上午数学或专业基础课程(8:30-11:30),下午专业课(2:00-5:00)。
每科考试时间一般为3小时;建筑设计等特殊科目考试时间最长不超过6小时。
了解确切的考研时间对于考生来说非常重要。它可以帮助考生制定合理的备考计划,合理安排时间,提高备考效率。同时,了解考试日期还可以帮助考生在报名时选择适合自己的考试场次,避免因时间冲突而导致无法参加考试。
考研数学答题按步骤给分吗
考研数学大题是按步骤给分的。
说到考研数学答题技巧,可作为一种辅助性的工具,在实力不过硬的考生身上绝对会起到锦上添花的作用。新东方在线考研数学调研组的老师精心为广大考生总结出一套切实可行的考研数学答题策略与大家分享。
首先,要提醒大家考研数学考试没有答题卡,在试卷上填写选择题答案。这里主要注意解答题的回答。尽量安排好回答的空间,如果不会做,可以先放一放,先把会做的题目答完,再回来做。
其次,强烈建议对于考研数学的选择题和填空题,如果三分钟没有思考出来结果,就果断放弃。
最后,要记住的是考研数学选择题和填空题的解答时间不要影响后面的大题目。毕竟很多大题目还是很简单的。在解答主观大题目的时候,也一定要学会放弃不会做的题,或者是暂时放弃不会做的题,不要为了一道题目苦苦思考很长时间,每道题思考时间一般不应超过10分钟,否则容易导致概率和线性代数等部分的题目无法解答,其实我们仔细想想,概率和线性代数的题目相对要比高等数学的内容简单,题型也很可能是曾经做过的,因此不要为了一道题目耽误了后面20~30分的内容。每年考研均有人在此犯下错误。
考研数学的答题技巧
熟悉基本的解题步骤和解题方法
解题的过程,是一个思维的过程。对一些基本的、常见的问题,前人已经总结出了一些基本的解题思路和常用的解题程序,我们一般只要顺着这些解题的思路,遵循这些解题的步骤,往往很容易找到习题的答案。
审题要认真仔细
对于一道具体的习题,解题时最重要的环节是审题。审题的第一步是读题,这是获取信息量和思考的过程。读题要慢,一边读,一边想,应特别注意每一句话的内在涵义,并从中找出隐含条件。有些学生没有养成读题、思考的习惯,心里着急,匆匆一看,就开始解题,结果常常是漏掉了一些信息,花了很长时间解不出来,还找不到原因,想快却慢了。所以,在实际解题时,应特别注意,审题要认真、仔细。
认真做好归纳总结
在解过一定数量的习题之后,对所涉及到的知识、解题方法进行归纳总结,以便使解题思路更为清晰,就能达到举一反三的效果,对于类似的习题一目了然,可以节约大量的解题时间。
2024考研数学一真题(含完整答案)下载打印相关文章:
★ 青年大学习第十季第七期最新一期答案 绿水青山就是金山银山完整答案汇总!





