2024全国考研(数学一)试题及答案图片版
数学一是报考理工科的学生考,考试内容包括高等数学,线性代数和概率论与数理统计;下面小编为大家带来2024全国考研(数学一)试题及答案,希望对您有所帮助!
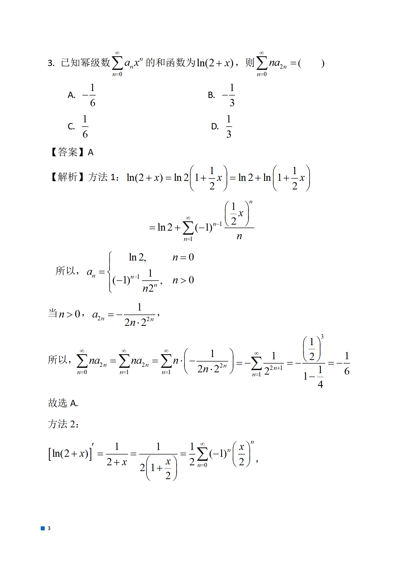
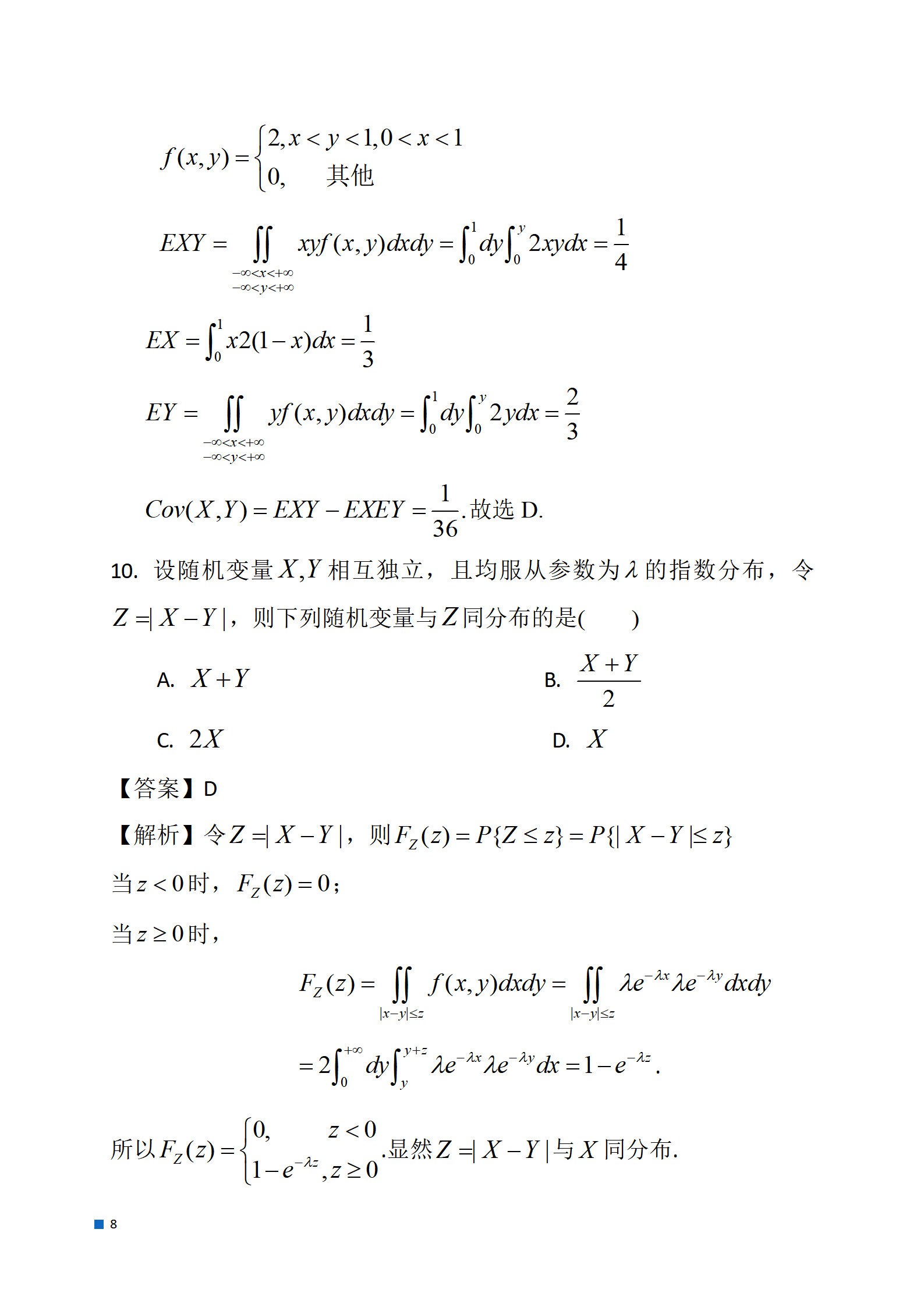
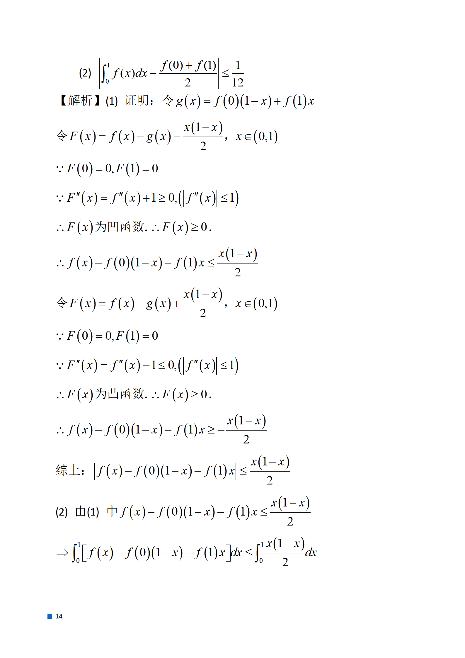
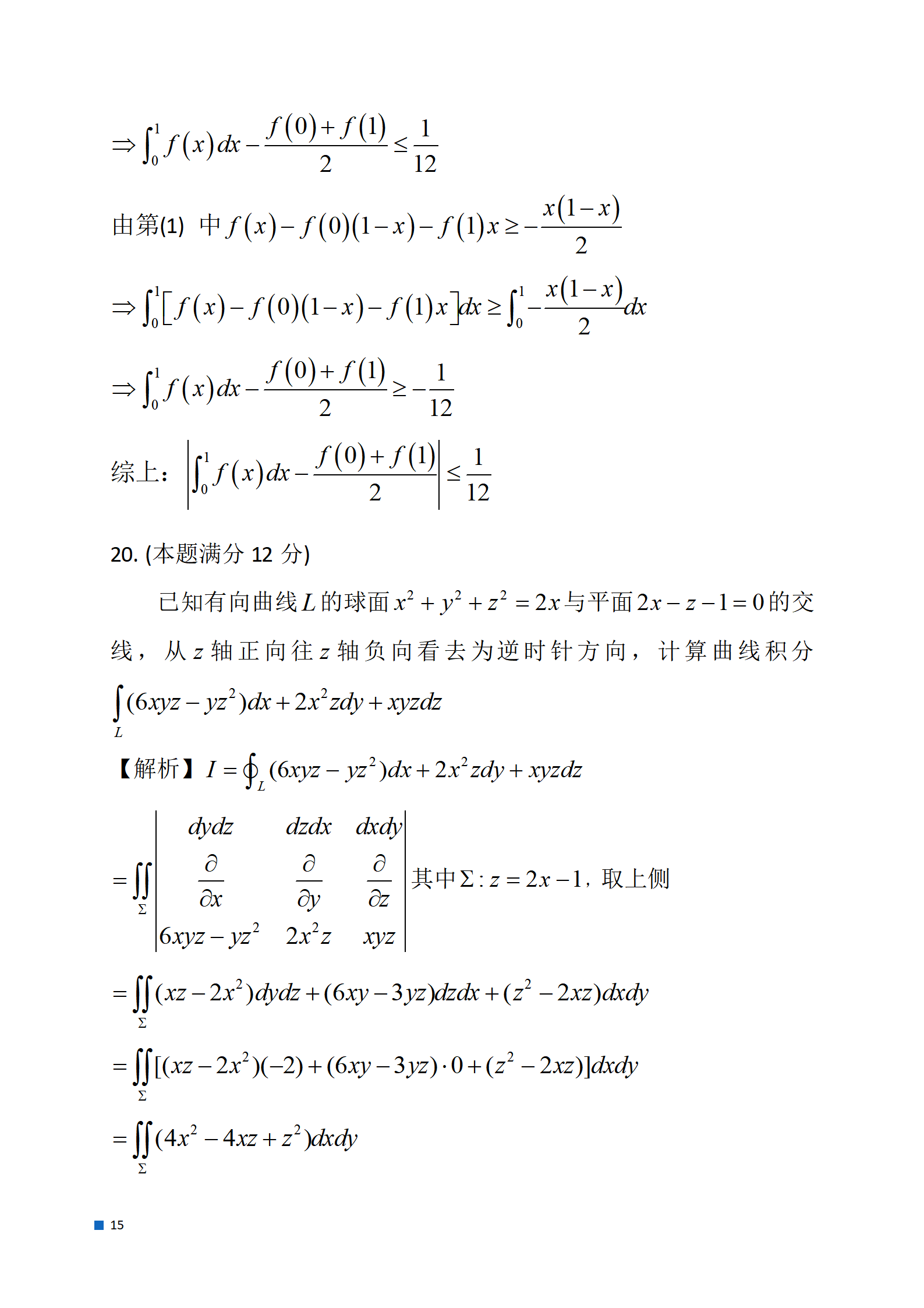
2024全国考研(数学一)试题及答案


















2024考研具体时间安排
研究生2024年考试时间:12月23日-12月25日。具体科目考试时间如下:
12月23日上午:思想政治理论、管理类综合能力。
12月23日下午:外国语。
12月24日上午:业务课一。
12月24日下午:业务课二。
12月25日上午:特殊要求科目(如画板使用等)。
每科考试时间一般为3小时,特殊科目最长不超过6小时。
考研数学一二三考试科目区别
数一、数二、数三大的区别是数学二缺少了概率论与数理统计,而数一和数三不论考试科目还是分值比例都是相同的。
考研数学一考试科目有:高等数学、线性代数、概率论与数理统计。各科目所占比例为:高等数学56%、线性代数22%、概率论与数理统计22%。
考研数学二的考试科目有:高等数学、线性代数。在试题中,各科目所占比例为:高等数学78%、线性代数22%。
考研数学三的考试科目有:微积分、线性代数、概率论与数理统计。各科目所占比例为:高等数学56%、线性代数22%、概率论与数理统计22%。
考研数学一二三考试内容的区别
| 考试内容 | 数学一 | 数学二 | 数学三 |
| 高等数学 | 函数、极限、连续、一元函数微积分学、向量代数与空间解析几何、多元函数的微积分学、无穷级数、常微分方程 | 函数、极限、连续、一元函数微积分学、常微分方程 | 函数、极限、连续、一元函数微积分学、多元函数微积分学、无穷级数、常微分方程与差分方程 |
| 线性代数 | 行列式、矩阵、向量、线性方程组、矩阵的特征值和特征向量、二次型 | 行列式、矩阵、向量、线性方程组、矩阵的特征值和特征向量 | 行列式、矩阵、向量、线性方程组、矩阵的特征值和特征向量、二次型 |
| 概率论与数理统计 | 随机事件和概率、随机变量及其概率分布、二维随机变量及其概率分布、随机变量的数字特征、大数定律和中心极限定理、数理统计的基本概念、参数估计、假设检验 | 无 | 随机事件和概率、随机变量及其概率分布、随机变量的联合概率分布、随机变量的数字特征、大数定律和中心极限定理、数理统计的基本概念、参数估计 |
2024全国考研(数学一)试题及答案图片版相关文章:
★ 青年大学习第十季第七期最新一期答案 绿水青山就是金山银山完整答案汇总!
《2024全国考研(数学一)试题及答案图片版》
2024全国考研(数学一)试题及答案图片版数学一是报考理工科的学生考,考试内容包括高等数学,线性代数和概率论与数理统计;下面小编为大家带来2024全国考研(数学一)试题及答案,希
推荐度:
点击下载文档文档为doc格式





