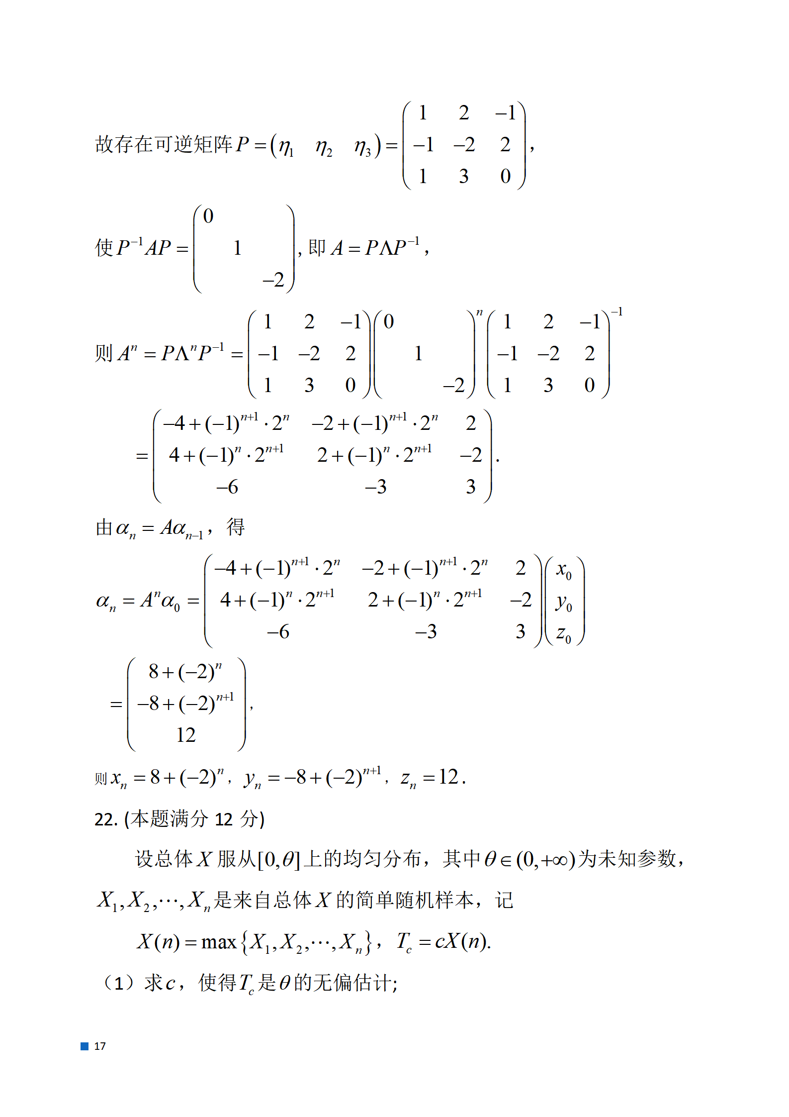
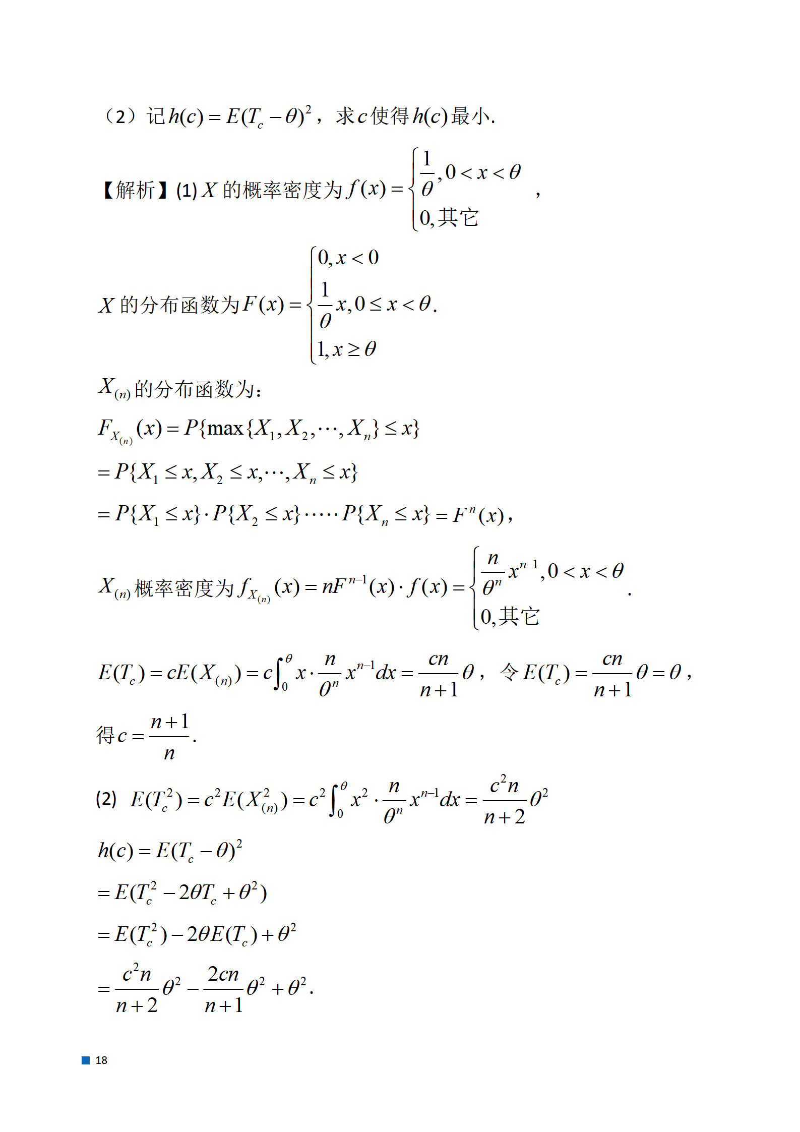
2024届考研数学一真题与答案解析发布
考研数学一考高等数学、线性代数、概率论与数理统计三个科目。下面小编给大家整理了关于2024届考研数学一真题与答案解析的内容,欢迎阅读,内容仅供参考!
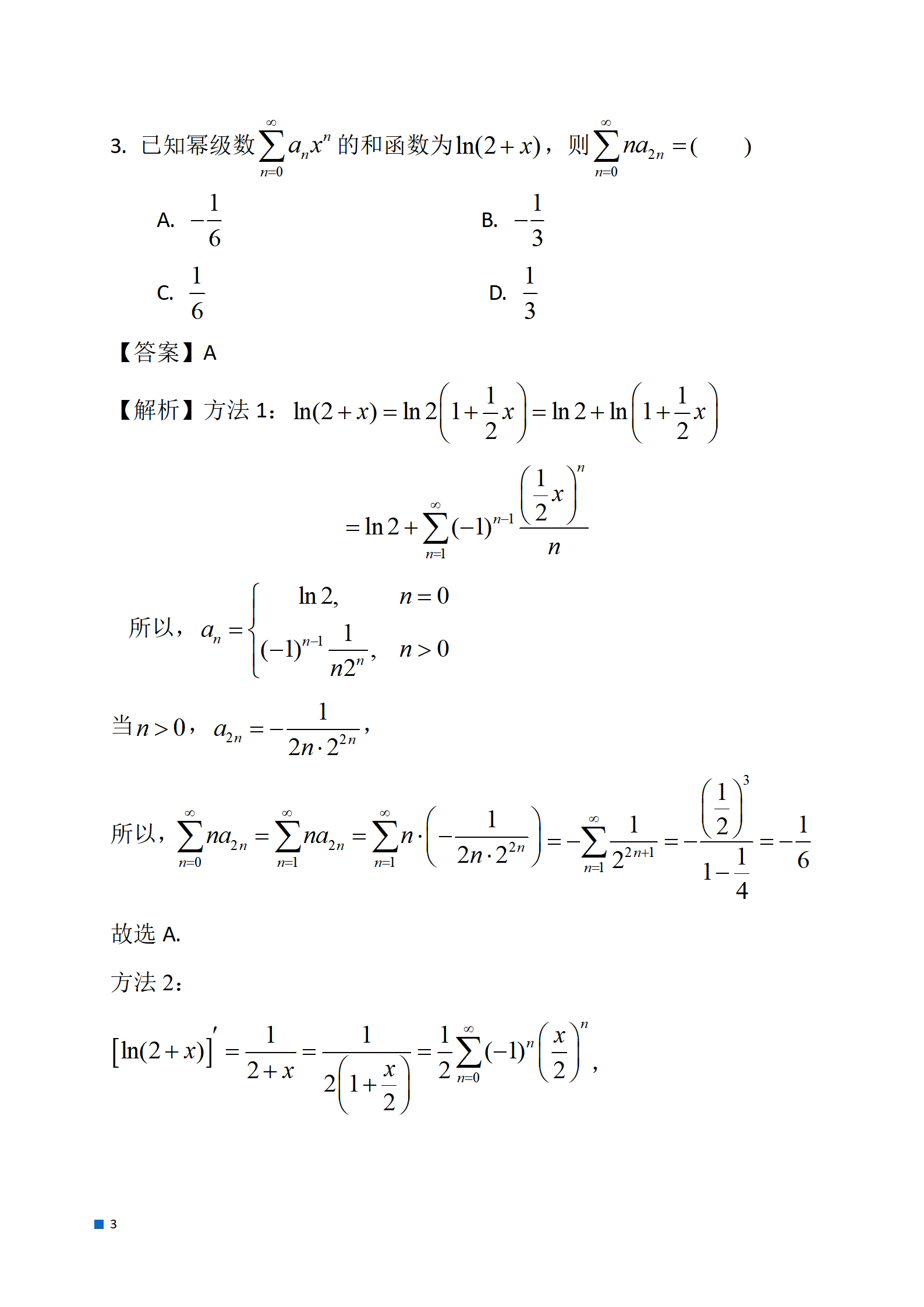
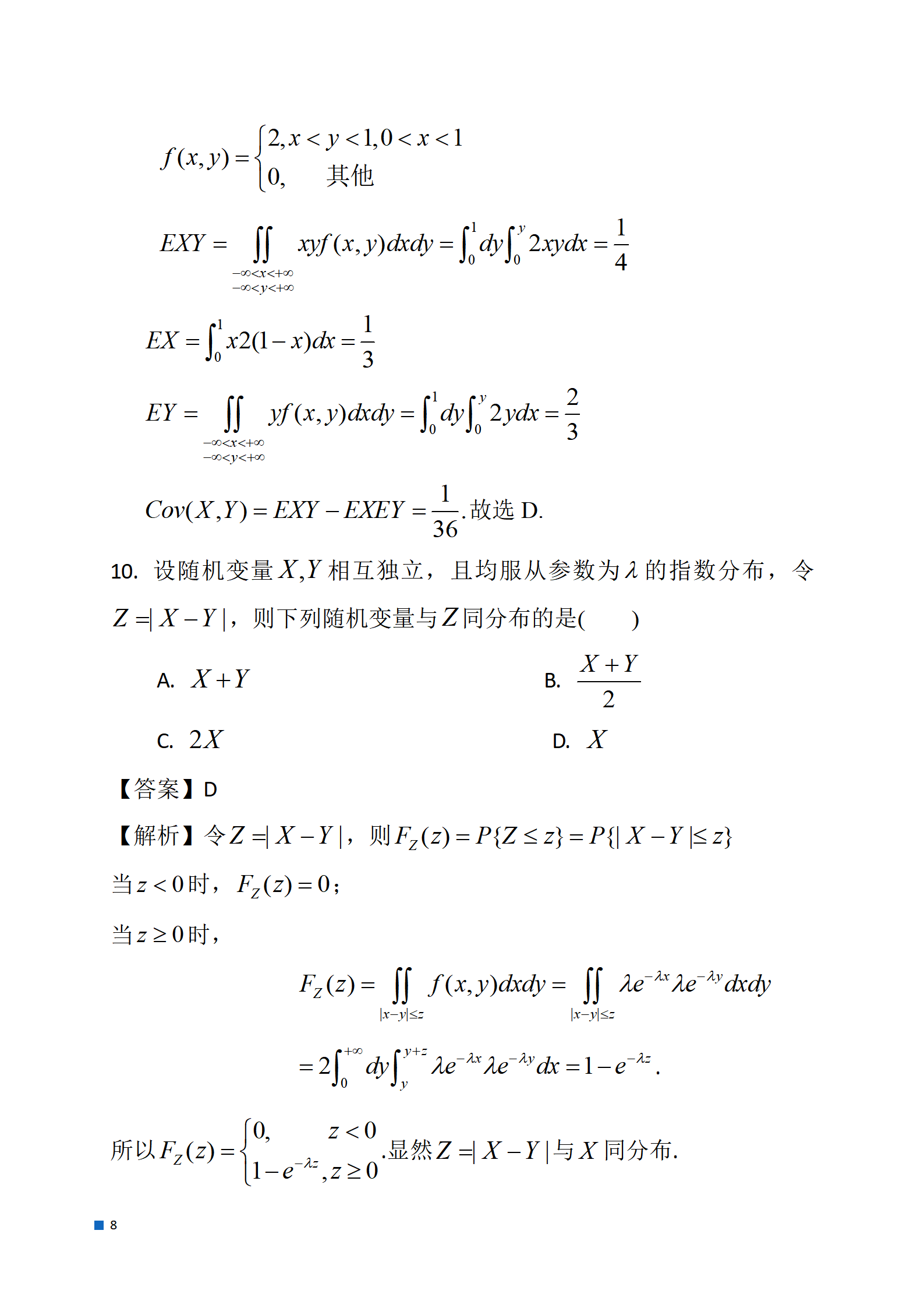
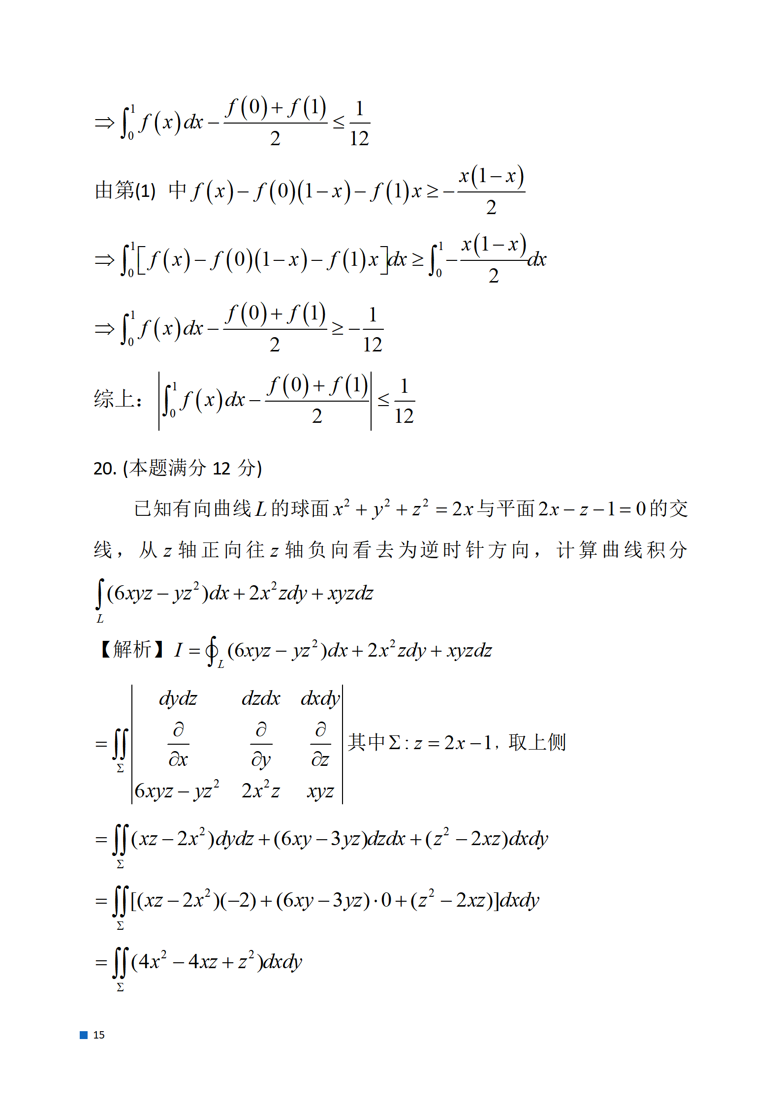
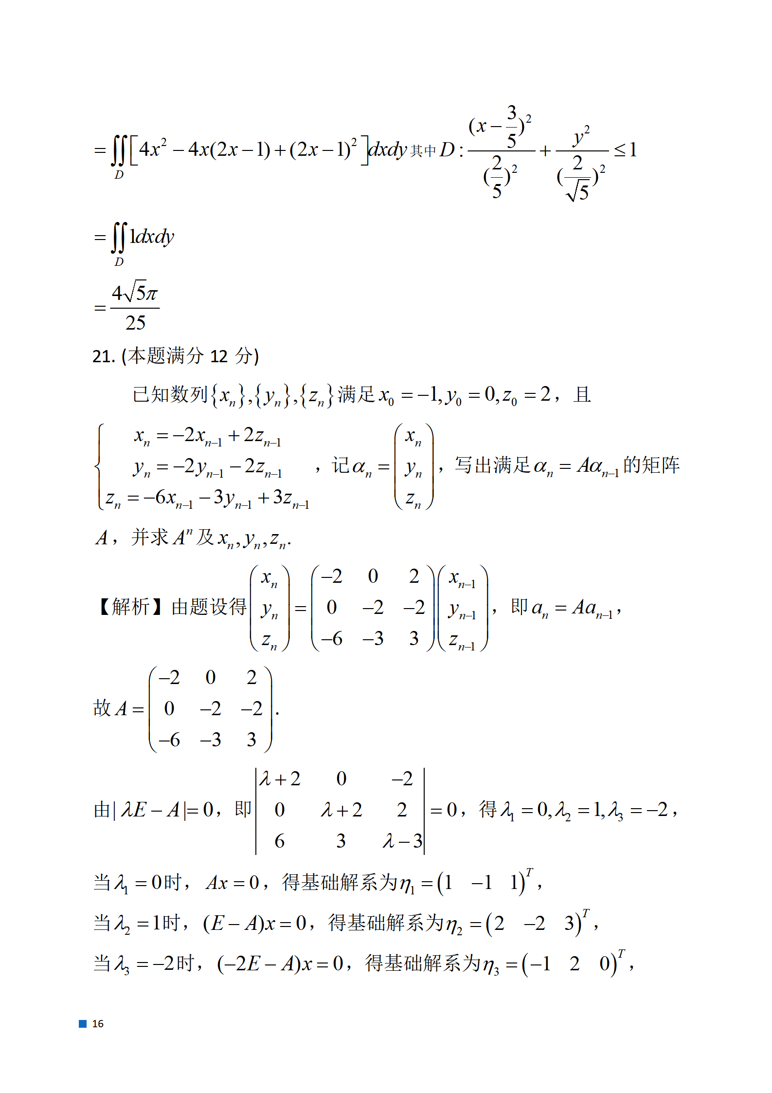
2024届考研数学一真题与答案解析


















2024考研具体时间安排
2024考研初试时间为2023年12月23日至24日。
第一天上午政治(8:30-11:30),下午英语(2:00-5:00)。
第二天上午数学或专业基础课程(8:30-11:30),下午专业课(2:00-5:00)。
每科考试时间一般为3小时;建筑设计等特殊科目考试时间最长不超过6小时。
了解确切的考研时间对于考生来说非常重要。它可以帮助考生制定合理的备考计划,合理安排时间,提高备考效率。同时,了解考试日期还可以帮助考生在报名时选择适合自己的考试场次,避免因时间冲突而导致无法参加考试。
2024考研应该如何备考
考研也需要一定程度的思路和方法。对于一些重点、难点和经典题目,我们可以有一些科学合理的复习方法和策略。如,对于一个不熟悉的专业知识点,我们可以通过寻找主要的概念,明确相关的重点,进行详细的归纳总结等方法,来达到提高复习效率的目的。
而且从历年考研考题中,我们可以发现有一些规律和特点,对于这些题型我们也可以使用相应的技巧来提高我们的答题能力。
考研需要心理上的调整。考研的过程是相对较长的,中间可能会有一些挫折和迷茫。这需要我们具有一定的心理素质和适应能力。在考研复习过程中,我们需要不断接受反馈,发现并及时改正自己的错误。此外,我们也可以多参加一些集体活动和小组学习,借此增加自己的学习动力。
考研需要我们多方面的准备,包括学习计划、复习资料、学习方法和心理素质。只有不断努力和提高自己,才能更好地实现自己的考研目标。
考研数学一二三的区别
1、数学一考得比较全面,高数,线代,概论都考,而且题目偏难。
2、数二不考概论,而且题目较数学一容易。
3、数三考得也很全面,题目的难度不比数一简单多少。
4、在专业方面,工学类专业的为数一、数二,学校的不同限定了究竟是考数一还是数二,经济学和管理学类专业的为数学三。
5、在难度方面,数一最难,其次是数二,最后是数三。数三照比前两者是稍微简单些,但是考研数学毕竟是考研数学,难度都不容小觑。
6、数学一需要学习的内容最多,高数,线性代数以及概率都要考,其中的考点也考察的很全面,书中删减的,不需要学习的内容特别少。
7、数学二只考察高数和线性代数两本书,但是其中考题的难度是很大的。
8、数学三考察的书目与数学一相同,其中有一些数一学习考察的内容数三是不需要掌握的,但是数学三与数学一需要学习的内容是相当之多的,而数学二虽是少学了一本书的内容,但是难度却是很大的。
考研数学的考试难度
数学一线性代数、高等数学和概率论与数理统计都要考,考得比较全面,而且题目相对偏难,其中线性代数占22% ,概率论与数理统计22% ,高等数学所占比例最多为56%。在数一二三中数一考察的范围是最广的,基本上是整本教材都要考。被称为三数中最难的。
数学二的考试内容只有线性代数、高等数学,其中线性代数占22% ,高等数学所占比例为78%,数一二三中线性代数的范围大致相同,而高等数学方面数二则删减了很多,比如向量代数与空间解析几何、三重积分、曲线积分、曲面积分以及无穷级数方面就被删去了,是不考的,所以这方面只是可以不用复习,被称为三数中最简单的。
数学三的考试内容所占比例与数一相同,也是线性代数、高等数学和概率论与数理统计都要考,其中线性代数占22% ,概率论与数理统计22% ,高等数学56%。但是,与数一相比,数三对向量空间与解析几何、三重积分、曲线积分、曲面积分不考察,还有所有与物理相关的应用也不考察,而对于微积分的考察则比较多,相对于数一来说概率统计中也没有假设检验和置信区间。
2024届考研数学一真题与答案解析发布相关文章:
★ 青年大学习第十季第七期最新一期答案 绿水青山就是金山银山完整答案汇总!





