2022年新高考全国一卷数学试卷及答案解析(图片版)
高考试题全国卷,简称全国卷,是由教育部考试中心组织命制的、适用于全国大部分省区的高考试卷,目的在于保证人才选拔的公正性。今天小编在这给大家整理了一些2022年新高考全国一卷数学试卷及答案解析,我们一起来看看吧!
2022年新高考全国一卷数学试卷




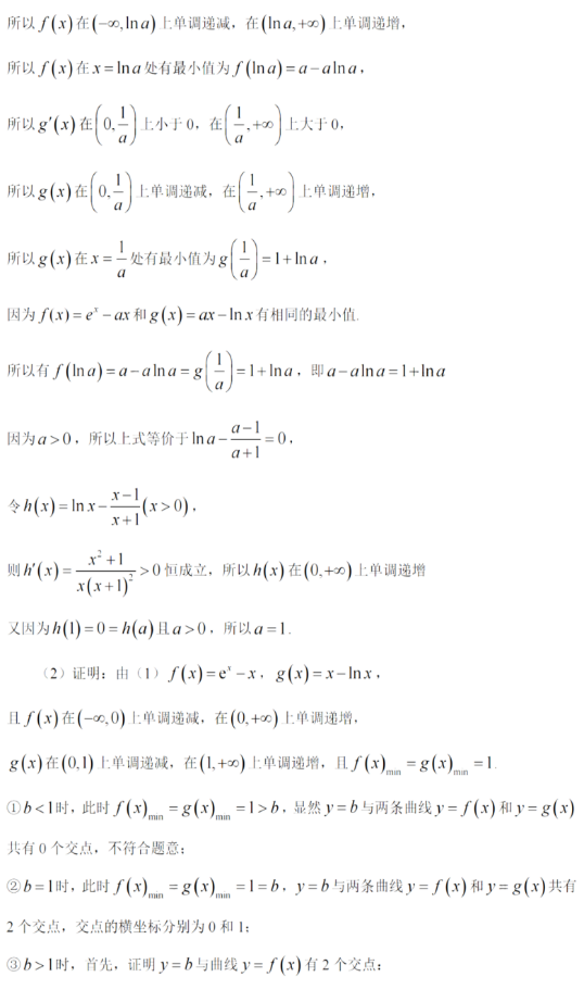
2022年新高考全国一卷数学试卷答案解析














2022高考数学必考知识点
第一、高考数学中有函数、数列、三角函数、平面向量、不等式、立体几何等九大章节。
主要是考函数和导数,这是我们整个高中阶段里最核心的板块,在这个板块里,重点考察两个方面:第一个函数的性质,包括函数的单调性、奇偶性;第二是函数的解答题,重点考察的是二次函数和高次函数,分函数和它的一些分布问题,但是这个分布重点还包含两个分析就是二次方程的分布的问题,这是第一个板块。
第二、平面向量和三角函数。
重点考察三个方面:一个是划减与求值,第一,重点掌握公式,重点掌握五组基本公式。第二,是三角函数的图像和性质,这里重点掌握正弦函数和余弦函数的性质,第三,正弦定理和余弦定理来解三角形。难度比较小。
第三、数列。
数列这个板块,重点考两个方面:一个通项;一个是求和。
第四、空间向量和立体几何,在里面重点考察两个方面:一个是证明;一个是计算。
第五、概率和统计。
这一板块主要是属于数学应用问题的范畴,当然应该掌握下面几个方面,第一……等可能的概率,第二………事件,第三是独立事件,还有独立重复事件发生的概率。
第六、解析几何。
这是我们比较头疼的问题,是整个试卷里难度比较大,计算量的题,当然这一类题,我总结下面五类常考的题型,包括:
第一类所讲的直线和曲线的位置关系,这是考试最多的内容。考生应该掌握它的通法;
第二类我们所讲的动点问题;
第三类是弦长问题;
第四类是对称问题,这也是2008年高考已经考过的一点;
第五类重点问题,这类题时往往觉得有思路,但是没有答案,
当然这里我相等的是,这道题尽管计算量很大,但是造成计算量大的原因,往往有这个原因,我们所选方法不是很恰当,因此,在这一章里我们要掌握比较好的算法,来提高我们做题的准确度,这是我们所讲的第六大板块。
第七、押轴题。
考生在备考复习时,应该重点不等式计算的方法,虽然说难度比较大,我建议考生,采取分部得分整个试卷不要留空白。这是高考所考的七大板块核心的考点。
2022年新高考全国一卷数学试卷及答案解析(图片版)相关文章:





